瘋癲爺 拙痴无の戯言・放言・歯軋り
爺の高校時代の有志で「みなと外誌」という小冊子を発刊している。ここ2日ほど、この編集ゲラ作りに追われたので、ブログを休んでしまった。出来上がったゲラを横浜在住のN氏に監修校正していただいている。
そんなわけで、本日は朝食後このゲラを発送すべく花川戸のクロネコに立ち寄り、吾妻橋を渡って牛島神社の境内を通り、白鬚まで足を伸ばそうと思ったのだが、久し振りの夏日でどうにも暑くてたまらんので、桜橋を渡って早々に帰宅した。やっぱり徘徊は早朝にかぎる。
牛島神社
葛飾北斎の傑作
包丁塚

烏亭焉馬の狂歌碑

ここの本殿には葛飾北斎晩年期(86歳)最大規模の傑作「須佐之男命厄神退治之図」が飾ってある。
須佐之男命が悪病をもたらす神々に、今後は悪事を働かないように証文をとっている場面(右下に卍の文字が見えます)をえがいたものである。残念ながら、関東大震災で消失してしまったのであるが、本殿の上がり口の直ぐ左手に、白黒の大きな写真が飾ってあり、北斎の絵を見ることができるのじゃ。
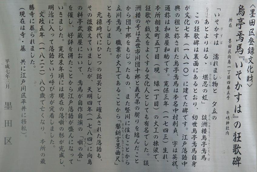
境内には包丁塚や烏亭焉馬の狂歌碑がある。
コスモスはどこにでも育つ
言問橋と桜橋の間の遊歩道にコスモスが咲いていた。原産地はメキシコの高原地帯という。18世紀末にスペインに送られコスモスと名付けられたそうじゃ。日本へは明治20年頃に渡来したと言われ、「秋桜」とかき秋の季語としても用いられる。花言葉は「少女の真心」だそうじゃ。
そんなわけで、本日は朝食後このゲラを発送すべく花川戸のクロネコに立ち寄り、吾妻橋を渡って牛島神社の境内を通り、白鬚まで足を伸ばそうと思ったのだが、久し振りの夏日でどうにも暑くてたまらんので、桜橋を渡って早々に帰宅した。やっぱり徘徊は早朝にかぎる。
牛島神社
烏亭焉馬の狂歌碑
須佐之男命が悪病をもたらす神々に、今後は悪事を働かないように証文をとっている場面(右下に卍の文字が見えます)をえがいたものである。残念ながら、関東大震災で消失してしまったのであるが、本殿の上がり口の直ぐ左手に、白黒の大きな写真が飾ってあり、北斎の絵を見ることができるのじゃ。
境内には包丁塚や烏亭焉馬の狂歌碑がある。
コスモスはどこにでも育つ
PR
彼岸花(曼珠沙華)
隅田公園の遊歩道の脇に彼岸花が咲いていた。
思いかなわぬ/夢ならば/何故に咲いたぞ/乙女の胸に/あの日から人知れず/咲いた花/ああ 切なきは/女の恋の曼珠沙華
彼岸花をみるとなぜかこの歌を思い出す。昭和25年頃、「三百六十五夜」という映画の中で、二葉あき子が唄った歌である。彼岸花は別名 「曼珠沙華(まんじゅしゃげ)」という。仏教の経典によると「天上の花」という意味で、慶事が起こる前触れには赤い花が天からふってくるという。 花言葉は「悲しい思い出」「想うはあなた一人」「また会う日を楽しみに」じゃそうな。
水戸邸跡由来記の碑
花くわしの歌碑


水戸邸跡の池
百日紅か?
吾妻橋を渡り、枕橋まで来ると何となく水戸邸跡に入ってみたくなり、ここで何枚かの写真をとる。「隅田公園水戸邸跡由来記」という石碑があったが、表面が反射してうまく写真に収めることが出来なかった。白い花を群がらせている木があった。木の幹から見ておそらく百日紅であろうかと思うが、良く判らない。
ワンさん夫妻 ピンボケでごめんなさい
T・K氏
桜橋を過ぎて、愛犬を連れてのワンさん夫妻を見たので、カメラを向けたが、どうやらピンボケ写真になってしまったようだ。
白鬚を渡って、例の落書き通りを桜橋に向っていると、T・K氏と擦れ違った。彼は、家の婆様の従弟なのだが、爺がJ塾でバイトしたときに初めて教えた生徒の一人である。いまは趣味で能面打ちに精出して、孫にもそれを教えているとのことである。
思いかなわぬ/夢ならば/何故に咲いたぞ/乙女の胸に/あの日から人知れず/咲いた花/ああ 切なきは/女の恋の曼珠沙華
彼岸花をみるとなぜかこの歌を思い出す。昭和25年頃、「三百六十五夜」という映画の中で、二葉あき子が唄った歌である。彼岸花は別名 「曼珠沙華(まんじゅしゃげ)」という。仏教の経典によると「天上の花」という意味で、慶事が起こる前触れには赤い花が天からふってくるという。 花言葉は「悲しい思い出」「想うはあなた一人」「また会う日を楽しみに」じゃそうな。
水戸邸跡由来記の碑
水戸邸跡の池
ワンさん夫妻 ピンボケでごめんなさい
白鬚を渡って、例の落書き通りを桜橋に向っていると、T・K氏と擦れ違った。彼は、家の婆様の従弟なのだが、爺がJ塾でバイトしたときに初めて教えた生徒の一人である。いまは趣味で能面打ちに精出して、孫にもそれを教えているとのことである。
東の空は朝焼け
岸田吟香翁碑
路面鏡の中の爺

足は、自然と桜橋にむかう。ここの所雨天が多かった所為か、橋の上からの朝焼けが莫迦に綺麗に見えた。橋を渡ると、青色御殿の前を抜け、白鬚橋東詰めから右折し、墨堤通りに出ると明治通りを横断。
先月の末に江戸東京博物館で開催されている「書の名宝展」に誘われたとき、いろいろと下調べをしていると明治の3筆といわれる日下部鳴鶴(くさかべめいかく、1838~1922年)という人があり、その人の揮毫による、岸田吟香(きしだぎんこう、1833~1905年)翁の隷書による顕彰碑が隅田川神社の境内にあるということを知った。徘徊範囲の橋の見聞も一通り終えたので、今日の徘徊は東白鬚公園を通ることにしたんじゃ。
隅田川神社の境内に入ると正面に高さ4mもあろうかと思われる石碑が2つ並んである。説明板もなにもないので、何の碑なのかは良く判らない。その右手に同じ様に高い石碑があり辛うじて、岸田吟香の字が読み取れた。表面はかなり汚れていてあまりよく読めない。
写真も、2枚だけしか撮っていないので、体育館のもうお休みになったプールの傍の曲がり角にある、路面鏡に映った我が姿をカメラに収めて帰宅した。
岸田吟香像
日下部鳴鶴像
石碑の拓影

帰宅して、インターネットで日下部鳴鶴の岸田吟香翁顕彰碑を調べてみた。
「東京・隅田川神社境内に岸田吟香を讃える有名な碑があります。そこには吟香の才能と個性とその業績を余すことなく紹介した漢詩が刻み込まれています(全文ではなく、碑文の一部じゃろう)。
維新諸業/翁実唱始/見幾制先/百蕨弗巳/及事就緒/模倣競起/後者勝先/功譲嚆矢/大書深刻/遠諗干祠 【吟香翁は、維新下に様々な事業を創始されたが先見の明があった。だから模倣する者続出、後には翁を抜いて成功者も出たが、翁は創始の功を他に譲るほどの人物であった】
と記されているのだそうだ。岸田吟香像・日下部鳴鶴像と碑の拓影も拾い出すことが出来た。
足は、自然と桜橋にむかう。ここの所雨天が多かった所為か、橋の上からの朝焼けが莫迦に綺麗に見えた。橋を渡ると、青色御殿の前を抜け、白鬚橋東詰めから右折し、墨堤通りに出ると明治通りを横断。
先月の末に江戸東京博物館で開催されている「書の名宝展」に誘われたとき、いろいろと下調べをしていると明治の3筆といわれる日下部鳴鶴(くさかべめいかく、1838~1922年)という人があり、その人の揮毫による、岸田吟香(きしだぎんこう、1833~1905年)翁の隷書による顕彰碑が隅田川神社の境内にあるということを知った。徘徊範囲の橋の見聞も一通り終えたので、今日の徘徊は東白鬚公園を通ることにしたんじゃ。
隅田川神社の境内に入ると正面に高さ4mもあろうかと思われる石碑が2つ並んである。説明板もなにもないので、何の碑なのかは良く判らない。その右手に同じ様に高い石碑があり辛うじて、岸田吟香の字が読み取れた。表面はかなり汚れていてあまりよく読めない。
写真も、2枚だけしか撮っていないので、体育館のもうお休みになったプールの傍の曲がり角にある、路面鏡に映った我が姿をカメラに収めて帰宅した。
岸田吟香像
帰宅して、インターネットで日下部鳴鶴の岸田吟香翁顕彰碑を調べてみた。
「東京・隅田川神社境内に岸田吟香を讃える有名な碑があります。そこには吟香の才能と個性とその業績を余すことなく紹介した漢詩が刻み込まれています(全文ではなく、碑文の一部じゃろう)。
維新諸業/翁実唱始/見幾制先/百蕨弗巳/及事就緒/模倣競起/後者勝先/功譲嚆矢/大書深刻/遠諗干祠 【吟香翁は、維新下に様々な事業を創始されたが先見の明があった。だから模倣する者続出、後には翁を抜いて成功者も出たが、翁は創始の功を他に譲るほどの人物であった】
と記されているのだそうだ。岸田吟香像・日下部鳴鶴像と碑の拓影も拾い出すことが出来た。
桜橋の位置
桜橋の上空写真
夜が明けきるのを待って、桜橋へと出向いた。
桜橋(さくらばし)は、台東区と墨田区の姉妹提携事業として1980年に創架が始まり、1985年に完成した隅田川唯一の歩行者専用橋で、両岸の隅田公園を結ぶ園路の役割を持つ。形状は平面のX字形の特異な形をしている。花見のシーズンには、両岸の桜を楽しむために多くの人がこの橋を渡る。また、隅田川花火大会の第1会場はこのあたりで、桜橋の袂が打ち上げ場所となり、橋は通行禁止となる。映画、ドラマ、バラエティなどのロケによく使われることでも知られている。総工費、28億3000万円は台東区、墨田区の折半であったそうな。
山谷掘の水門近くで
橋名は路上に(下流側)
台東区側の分岐点

路上に橋名(上流側)
テラスにて 下流
テラスにて 上流

台東区側のオブジェ
中央部のベンチ ご来光
墨田区側オブジェ

墨田区側の覆道
墨田区側の分岐点
墨田区側の下流遊歩道にて

美しい橋で周辺との景観との調和を考慮して色彩や素材に工夫が見られる。この橋には橋柱はなく、路面に橋の名が記され、回りは花壇で囲んである。橋の両端にモニュメントがあるが、原画は平山郁夫 画の瑞鶴の図だそうで、墨田区側は「双鶴飛立の図」、台東区側は「双鶴飛天の図」になっている。橋の中央付近にはベンチも設えてあり、しばし景観を楽しみながら休憩できる。今しも東天からご来光のところじゃった。
東岸(墨田区側)は背後に墨堤通りが走っている狭小地であり足場用地確保のためか、通り上面に覆道を置いているんじゃが、これが橋と一体化しているようじゃ。
構造形式:連続鋼X形曲線箱桁橋(連続曲線鋼箱桁)、橋長:169.45m 、幅員:中央部/20m 側径間/6m 。着工は昭和55年11月、竣工は昭和60年4月11日。施工主体は墨田区、台東区(管理:台東区)。
桜橋を渡ると墨田区側を何時もとは逆方向に南下して、駒形橋を渡り、吾妻橋から隅田公園に入り、公園を北上して、帰宅した。
桜橋(さくらばし)は、台東区と墨田区の姉妹提携事業として1980年に創架が始まり、1985年に完成した隅田川唯一の歩行者専用橋で、両岸の隅田公園を結ぶ園路の役割を持つ。形状は平面のX字形の特異な形をしている。花見のシーズンには、両岸の桜を楽しむために多くの人がこの橋を渡る。また、隅田川花火大会の第1会場はこのあたりで、桜橋の袂が打ち上げ場所となり、橋は通行禁止となる。映画、ドラマ、バラエティなどのロケによく使われることでも知られている。総工費、28億3000万円は台東区、墨田区の折半であったそうな。
山谷掘の水門近くで
路上に橋名(上流側)
台東区側のオブジェ
墨田区側の覆道
美しい橋で周辺との景観との調和を考慮して色彩や素材に工夫が見られる。この橋には橋柱はなく、路面に橋の名が記され、回りは花壇で囲んである。橋の両端にモニュメントがあるが、原画は平山郁夫 画の瑞鶴の図だそうで、墨田区側は「双鶴飛立の図」、台東区側は「双鶴飛天の図」になっている。橋の中央付近にはベンチも設えてあり、しばし景観を楽しみながら休憩できる。今しも東天からご来光のところじゃった。
東岸(墨田区側)は背後に墨堤通りが走っている狭小地であり足場用地確保のためか、通り上面に覆道を置いているんじゃが、これが橋と一体化しているようじゃ。
構造形式:連続鋼X形曲線箱桁橋(連続曲線鋼箱桁)、橋長:169.45m 、幅員:中央部/20m 側径間/6m 。着工は昭和55年11月、竣工は昭和60年4月11日。施工主体は墨田区、台東区(管理:台東区)。
桜橋を渡ると墨田区側を何時もとは逆方向に南下して、駒形橋を渡り、吾妻橋から隅田公園に入り、公園を北上して、帰宅した。
爺が夕飯時に見ているケーブルテレビの「伝七捕物帖」の主題歌に橋幸夫の唄う歌、
向こう通るは あの娘じゃないか/紅いたもとが小粋に揺れる/どこへ行くやら言問橋を/渡るカラコロ下駄の音/吹くは川風/ エエ エエエ/裾乱す 裾乱す/なんじゃいナァ
というのがある。
言問橋は、国道6号(言問通)を通し、西岸は台東区花川戸2丁目と浅草7丁目を分かち、東岸は墨田区向島1丁目と2丁目を分かつ。もともと「竹屋の渡し」という渡船場があった場所で昭和になって出来た橋で、伝七親分が活躍したとされる江戸時代には橋はなかったのじゃ。
震災復興事業として計画された橋。両国橋や天満橋(大阪市)と並んで三大ゲルバー橋と呼ばれた長大な橋である。川端康成(1889から1972年)は『浅草紅団』の中で、その直線的で力強いデザインを曲線的で優美な清洲橋と比べて「隅田川の新しい六大橋のうちで、清洲橋が曲線の美しさとすれば、言問橋は直線の美しさなのだ。清洲は女だ、言問は男だ」と書いている。
午前5時はまだ暗い。夜が明けきったのをみきわめて、家を出る。言問橋西詰の公園入り口から、言問橋通を渡り、再び公園に入り、言問橋袂のテラスに降りる。ここから、テラス沿いに吾妻橋に出る。橋を渡り墨田区側を北上枕橋をわたり、言問橋下から階段を上り橋上に出る。元来た道を引き返し、上流側の橋上に出る。再度墨堤通をわたり、いつもの遊歩道に出る。この間、いろいろな角度から言問橋をカメラに収めた。
公園入口に展示されている縁石
欄干の桟はねじりになっている
プレートだけは新しくても空襲の爪痕を残す
墨田区側テラスの降り口よりの全景
墨田区側テラスよりの全景
江戸東京博物館の展示
平成4(1992)年から実施された改修工事で切り出された欄干の基部の縁石(色が黒ずんで変色している)が橋の西詰めの隅田公園入口に展示されている。橋の親柱は、一部未改修のため現在も東京大空襲で焼け出された人の脂の黒ズミが残っているという。
今年、平成20(2008)年3月28日、両国橋と共に東京都の東京都選定歴史的建造物に選定されたという。まあ、それだけ老朽化したということじゃ。
構造形式は 三径間ゲルバー鈑桁橋、橋長 238.7m 、幅員 22.0m 。
着工 大正14(1925)年5月、竣工 昭和3(1928)年2月10日 という。
今日から9月。昨日は少し気張りすぎて余計に歩いてしまった。今日は検診日でもあるし、朝の徘徊は1時間程度でやめておいた。隅田公園の築山の所から、テラスに降り、言問橋をくぐって、東武線隅田川橋梁を撮影した。隅田川に架かる橋は数多くあり、その大半は車道橋じゃが、いくつかの鉄道橋もある。下流側から、JR総武線隅田川橋梁、東武伊勢崎線(花川戸鉄道橋)、日比谷線隅田川橋梁、つくばエクスプレス隅田川橋梁、常磐線隅田川橋梁、京成電鉄隅田川橋梁、そして日暮里・舎人ライナー隅田川橋梁とある。これらの鉄道橋で最ものんびり走っているのが、東武伊勢崎線花川戸橋梁、つまり東武線の鉄橋なんじゃ。
隅田公園(台東区側)テラスにて
中路カンチレバーワーレントラス(3径間)という爺にはちょっと理解できん形式で、橋長は166mあるそうじゃ。幅員は鉄道であるし、よう解らんらしい。東武鉄道が浅草駅まで延長するために隅田川に架けた橋で、隅田川の景観に配慮して、高いトラス橋にせず、架線柱に曲線のデザインが取り入れられたそうじゃ。計画の際には隅田公園を通る路線が計画されていたが、隅田公園の景観を損なわないよう公園を避けるようにルートの設定がなされたんじゃ。着工は昭和2年、竣工は昭和6年、昭和18(1943)年までには、橋のすぐ東側に隅田公園駅が設けられていたということじゃ。この橋は高いトラスになっていないため、車内から隅田川の水面を眺めることが出来るという特性も持つことになったんじゃと。
墨田区側テラスにて
浅草駅入線に際する運転の制約上、この橋梁付近での制限速度は15km/hとなるほか、両渡り線(分岐器)が設置されているのじゃ。橋梁上に分岐器は設置されないのが通例なんじゃが、浅草駅よりの高架区間に設置するスペースがなく、やむを得ず設置されたんじゃ。列車がゆっくりとこの鉄橋を渡る風景は非常におだやかで、鉄橋のつくりもあいまって、現在は浅草の情緒を引き立てる役ともなっているんじゃ。
吾妻橋をわたり、東詰めからテラスに降り、北十間川の水門の付近で、再び東武線鉄橋を撮り、そのまま言問橋を潜り、桜橋を渡って帰宅。
今日の検診では中性脂肪がかなり高いようで、明日からこれを下げるための薬を飲むことになった。まあまた、1歩あの世へ近付いたということじゃ。
ボランティアのガイドさんと
具に説明を
飛び石伝いに

今日も朝から雨。朝食を終えて、雨も上がり、薄日が射してきたので、午前11時、2人してうろつきに出掛けた。厩橋の袂の蔵前駅から都営大江戸線で清澄白河駅下車。清澄庭園に行った。東京都指定名称となっていて、大正記念館や涼亭などがある。この地には元禄期の豪商・紀伊国屋文左衛門の屋敷があったと伝えられる。享保期には下総関宿藩主・久世氏の下屋敷となり、ある程度の庭園が築かれたと推定されている。明治11(1878)年、荒廃していた邸地を三菱財閥創業者の岩崎弥太郎が買い取り、三菱社員の慰安と賓客接待を目的とした庭園の造成に着手。明治13(1880)年に竣工し、深川親睦園と命名された。三菱社長の座を継いだ岩崎弥之助は庭園の泉水に隅田川の水を引き込むなど大きく手を加え、明治24(1891)年に回遊式築山林泉庭園としての完成を見た。なお、明治22(1889)年には庭園の西側にJosiah Conder(ジョサイア・コンドル、1852~1920年)設計による洋館が建てられている。大正12(1923)年の関東大震災で庭園は大きな被害を受けて邸宅も焼失したが、図らずも近隣住民の避難場所となり多くの人命が救われた。それを受けて大正13(1924)年、三菱3代目社長の岩崎久弥は当時の東京市に庭園の東半分を公園用地として寄贈。市は大正記念館の移築(1929年5月竣工)や深川図書館の新館舎建設(同年6月竣工)など整備を進め、昭和7(1932)年7月24日に清澄庭園として開園したものじゃ。ボランティアの方がこの爺と婆について、庭園の謂れや設備についてつぶさに説明してくださった。
清洲橋東詰渡り口
江東区側テラスにて
橋の真下より

美しい橋の全景
テラスより
西詰渡り口で

万年橋袂で
万年橋南側渡り口
ここまで来れば清洲橋は直ぐ其処である。写真撮影して帰ることにした。清洲橋は清洲橋通を通す。西岸は中央区日本橋中洲、東岸は江東区清澄一丁目。「清洲」という名称は公募により、建設当時の両岸である深川区清住町と日本橋区中洲町から採られた。関東大震災の震災復興事業として、永代橋と共に計画された橋。「帝都東京の門」と呼称された永代橋と対になるような設計で、「震災復興の華」とも呼ばれた優美なデザインである。当時世界最美の橋と呼ばれたドイツ・ケルン市にあった大吊り橋をモデルにしている(この橋は第2次世界大戦で破壊され、現在は吊り橋ではない)。海軍で研究中であった低マンガン鋼を使用して、鋼材の断面を小さくする努力がなされた。もともと「中洲の渡し」という渡船場があった場所でもある。平成12(2000年)に永代橋と共に土木工学の「第一回土木学会選奨土木遺産」に選定された。平成19(2007)年6月18日、都道府県の道路橋として初めて、勝鬨橋・永代橋とともに国の重要文化財(建造物)に指定された。
構造形式は自碇式鋼鉄製吊橋。橋長 186.3m 、幅員 22.0m 。着工は大正14年3月 、竣工は昭和3年3月 であるという。
江戸東京博物館で
説明板
さらに、ここまで来れば、序(ついで)にというわけで、両国は大江戸東京博物館に展示してある、戦災で災難を受けたという言問橋の欄干と縁石を写真に収めてきた。両国で遅い昼飯を食って、浅草橋駅前からバスでご帰還。時に午後2時半をすぎていた。
今日も朝から雨。朝食を終えて、雨も上がり、薄日が射してきたので、午前11時、2人してうろつきに出掛けた。厩橋の袂の蔵前駅から都営大江戸線で清澄白河駅下車。清澄庭園に行った。東京都指定名称となっていて、大正記念館や涼亭などがある。この地には元禄期の豪商・紀伊国屋文左衛門の屋敷があったと伝えられる。享保期には下総関宿藩主・久世氏の下屋敷となり、ある程度の庭園が築かれたと推定されている。明治11(1878)年、荒廃していた邸地を三菱財閥創業者の岩崎弥太郎が買い取り、三菱社員の慰安と賓客接待を目的とした庭園の造成に着手。明治13(1880)年に竣工し、深川親睦園と命名された。三菱社長の座を継いだ岩崎弥之助は庭園の泉水に隅田川の水を引き込むなど大きく手を加え、明治24(1891)年に回遊式築山林泉庭園としての完成を見た。なお、明治22(1889)年には庭園の西側にJosiah Conder(ジョサイア・コンドル、1852~1920年)設計による洋館が建てられている。大正12(1923)年の関東大震災で庭園は大きな被害を受けて邸宅も焼失したが、図らずも近隣住民の避難場所となり多くの人命が救われた。それを受けて大正13(1924)年、三菱3代目社長の岩崎久弥は当時の東京市に庭園の東半分を公園用地として寄贈。市は大正記念館の移築(1929年5月竣工)や深川図書館の新館舎建設(同年6月竣工)など整備を進め、昭和7(1932)年7月24日に清澄庭園として開園したものじゃ。ボランティアの方がこの爺と婆について、庭園の謂れや設備についてつぶさに説明してくださった。
清洲橋東詰渡り口
美しい橋の全景
万年橋袂で
構造形式は自碇式鋼鉄製吊橋。橋長 186.3m 、幅員 22.0m 。着工は大正14年3月 、竣工は昭和3年3月 であるという。
江戸東京博物館で
浅草サンバカーニバルの第1回の開催は昭和56(1981)年というから、今年は第28回目ということになる。浅草はかつて映画館や演芸など娯楽の一大中心地として名を馳せたのであるが、昭和30~40年代にはすでに街の活気が下火になりつつあった。これを案じた当時の台東区長である内山栄一と浅草喜劇出身俳優の伴順三郎の発案により初めて実施されたといわれる。当時神戸市が神戸まつりでサンバパレードを行っていたことから、浅草の商店街や観光連盟などが読売新聞社を通じて、神戸まつり関係者にコンタクトを取ってそのアイディアを浅草サンバカーニバルに流用したというのが真相であり、伴淳三郎の話は後づけであるという指摘がある。
まあ、爺にとってはそんなことはどうでもいいことで、ここ浅草にサンバカーニバルが定着し、町が潤ってくれることは爺が大変うれしいことなのである。
開催マップ
準備完了
雷門通は交通規制
江戸通りから路地越しに見る馬道は大変混んでいるようである。産業会館はカーニバルの楽屋になっているらしく、サンバにそなえて、盛装している人々が大勢見られた。馬道通りに出ると歩道は人でごつたがえし、よく歩けない。それに陽射しも強くなり、暑くてやりきれない。馬道通りを雷門通りまで抜けるのがやっとであった。雷門通りに入ると出られそうにもないので、ここからは江戸通りを北上して帰宅した。
来週は東武線隅田川橋梁を撮影するつもりなので、江戸通りのガード手前で東武浅草駅の構内を撮影してみた。帰宅して、3時半。今までの強い陽射しが一転,俄かに掻き曇り、大粒の雨が降り出した。サンバ出場の皆さんずぶ濡れだろうなぁ。ご苦労さん。
今朝も、朝から雨、時に雷も鳴っている。
先だって(8月27日)メールが入った。曰く
拝啓 時下ますますご健勝のこととお喜び申し上げます。 お久しぶりです。U・Kと申します。
突然のメールで失礼いたします。たくさんの塾生を抱えていらっしゃる先生は覚えていらっしゃらないことと思いますが・・・。
もう25年以上も前の事です。私は兼愛塾に通っていた訳では無いのですが、獣医師だった父がモミイさん(モミイ<現アライ>ミノさんのご両親)と知り合いだったご縁で、夏の合宿だけ3~4年連続で参加しておりました。
兼愛塾の合宿は私の中で、子供の頃の楽しかった思い出として夏になると毎年思い出しておりました。
遠泳の時になめた氷砂糖の味、ビクビクしながらヤグラから飛び込んだ海面、ギリシャ神話など知らなかった時に覚えた、お酒の神様の名前を持つワンちゃん、OB・OGの方に扇いでもらいながらの夢の中、等々
子供の頃の記憶は鮮明なもので、忘れることなく胸に刻まれております。今年も暑い夏の最中、再び長松寺や大浜海岸が脳裏をかすめ、ネットで「兼愛塾」と検索したところ、先生のブログに辿り着きました。
先生やミチコ先生の写真を拝見し、お元気そうでうれしくなって、思わずメールした次第です。
私は現在、結婚し先生と同じ台東区内のマンションに住んでおります。もしかしたら、先生のお散歩コースに入っているかもしれませんね。今度、もしお見かけするような事があればお声を掛けさせていただきます。
季節の変わり目、気温の変化が激しいですがお体ご自愛ください。これからもブログを拝読いたします!
ミチコ先生にもよろしくお伝えくださいませ。
突然のことで少々驚いたが、呆けた脳裏とはいえ、しっかりと刻み込まれた記憶であったし、とても懐かしかったので、すぐに返信メールを送った。25年も経って想い出に残してくれる生徒がいたことはこの爺にとってはとてもうれしいことである。いやいや、ブログを始めてよかったとも思うのじゃった。早速昔年の文集等を引き出して、思い出を新たにしたのである。
当時の文集「想い出」の参加者紹介の女子生徒の部のところに、シアトルママと並んで紹介文が出ていたので、早速スキャンしてみた(実名は削除して、イニシャルにした)。
徘徊にも出掛けられず、徒然にU・Kさんの許しも得ずにこのブログに入れることにした次第じゃ。
先だって(8月27日)メールが入った。曰く
拝啓 時下ますますご健勝のこととお喜び申し上げます。 お久しぶりです。U・Kと申します。
突然のメールで失礼いたします。たくさんの塾生を抱えていらっしゃる先生は覚えていらっしゃらないことと思いますが・・・。
もう25年以上も前の事です。私は兼愛塾に通っていた訳では無いのですが、獣医師だった父がモミイさん(モミイ<現アライ>ミノさんのご両親)と知り合いだったご縁で、夏の合宿だけ3~4年連続で参加しておりました。
兼愛塾の合宿は私の中で、子供の頃の楽しかった思い出として夏になると毎年思い出しておりました。
遠泳の時になめた氷砂糖の味、ビクビクしながらヤグラから飛び込んだ海面、ギリシャ神話など知らなかった時に覚えた、お酒の神様の名前を持つワンちゃん、OB・OGの方に扇いでもらいながらの夢の中、等々
子供の頃の記憶は鮮明なもので、忘れることなく胸に刻まれております。今年も暑い夏の最中、再び長松寺や大浜海岸が脳裏をかすめ、ネットで「兼愛塾」と検索したところ、先生のブログに辿り着きました。
先生やミチコ先生の写真を拝見し、お元気そうでうれしくなって、思わずメールした次第です。
私は現在、結婚し先生と同じ台東区内のマンションに住んでおります。もしかしたら、先生のお散歩コースに入っているかもしれませんね。今度、もしお見かけするような事があればお声を掛けさせていただきます。
季節の変わり目、気温の変化が激しいですがお体ご自愛ください。これからもブログを拝読いたします!
ミチコ先生にもよろしくお伝えくださいませ。
当時の文集「想い出」の参加者紹介の女子生徒の部のところに、シアトルママと並んで紹介文が出ていたので、早速スキャンしてみた(実名は削除して、イニシャルにした)。
徘徊にも出掛けられず、徒然にU・Kさんの許しも得ずにこのブログに入れることにした次第じゃ。
午前5時、昨夜の雨がまだ降り止んでいない。朝食後、薄日が射してきたので、出掛けることにした。昨日の駒形橋の撮影に続いて、今日は吾妻橋。
吾妻橋は、雷門通り通し西岸は台東区雷門2丁目、および花川戸1丁目を分かち、東岸は墨田区吾妻橋1丁目。西岸の交叉点には浅草1丁目がかかり、神谷バーなど、いわゆる浅草の中心に近い橋である。また、東岸にはアサヒビール本社などが入る墨田リバーサイド地区がある。桜の名所として著名?な隅田公園はこの橋がほぼ南端にあたる。東武伊勢崎線・東京メトロ銀座線・都営地下鉄浅草線の浅草駅はこの橋の西岸にあり、東岸約500メートル先にこの橋の名を冠した本所吾妻橋(都営浅草線)がある。東京観光汽船の桟橋である浅草ステーションが橋の西詰に設けられている。ここから浜離宮を経由して東京港日の出桟橋まで運行されている隅田川ライン(水上バス)が出発しているので、隅田川下りの拠点の一つとしても著名な?地点でもあるんじゃ。
創架は安永3(1774)年10月のことで、それまでは「竹町の渡し」(「駒形の渡し」とも呼ばれ、現在の吾妻橋と駒形橋のほぼ中間の場所にあった渡しで吾妻橋が架橋されたことによって利用者は減ったものの、明治 9(1876)年まで運行されていた記録が残っている)という渡し舟があった場所じゃという。江戸5橋(千住大橋・両国橋・新大橋・永代橋・吾妻橋)のうち最後の橋であり、明和6(1769)年4月に浅草花川戸の町人伊右衛門と下谷竜泉寺の源八の嘆願が幕府によって許可され、着工後5年で完成したもので、長さ八十四間(約150m)、幅三間半(約6.5m)の橋で、武士以外の全ての通行者から2文ずつの通行料を取ったと記録に残っているそうじゃ。天明6(1786)年7月18日の洪水の際に永代橋、新大橋がことごとく流され、両国橋も大きな被害を受ける中で無傷で残り、架橋した大工や奉行らが褒章を賜ったという。その後も幾度かの架け替えが行われたようじゃ。
吾妻橋の浮世絵
明治時代の木橋
明治20年架設の鉄橋

震災前の吾妻橋
架橋を申し出たとき、吾嬬神社の参道橋なので「宮戸橋」で申請したが却下され「大川橋」と命名するように申し渡された。これは近辺で隅田川が「大川」と呼称されていたことにちなむ。かくて大川橋として橋は架かったが、町民からは「あづまばし」とよばれたという。こうしてその由来は、江戸の東にあるために「東橋」と呼ばれ後に慶賀名として「吾妻」とされた説と、東岸方面の向島にある「吾嬬神社」へと通ずる道であったことから転じて「吾妻」となった説の2つの俗説が生れたんじゃろなぁ。いずれにしても、明治9(1876)年2月に木橋として最後の架け替えが行われた際に正式に現在の橋名である「吾妻橋」と命名されたそうじゃ。
この最後の木橋は明治18(1885)年7月の大洪水で初めて流出した千住大橋の橋桁が上流から流されてきて橋脚に衝突。一緒に流失してしまう。そのために明治20(1887)年12月9日に隅田川最初の鉄橋として再架橋された。鋼製プラットトラス橋で、人道橋、車道橋、鉄道(東京市電)橋の3本が平行して架けられていた。後に関東大震災によって木製だった橋板が焼け落ちてしまい、一時的な補修の後昭和6(1931)年に現在の橋に架け替えられたということじゃ。
台東区側テラスからの全景
水上バスステーション
西詰には環状6連の橋灯

水上バスステーション横の渡り口
車道と歩道の間には雷様マーク
駐輪禁止の貼り札もなんのその

西詰、下流側の渡り口
径間の橋脚、テラスにて
構造形式は、3径間鋼ソリッドリブタイドアーチ橋、橋長150.0m、幅員20.0mという。昭和4年6月に着工し、昭和6年6月に竣工となっている。
平成4年の改修で塗装が青白色から赤色に変わり、夜もライトアップされてレッドブリッジを強調するが、これは浅草寺の紅柄(べんがら)色に相和したものであるということじゃ。
吾妻橋の東詰には、開園時の「隅田公園入口」の石柱が今も残っており、裏には「昭和七年四月吉日復興完成記念」の文字が見てとれる。
あづま地蔵
隅田公園入口の石柱
石柱の裏面

ステーションに入る船と出る船の交替
吾妻橋の東詰広場には「あづま地蔵」がある。吾妻橋一丁目町会有志によって、震火災水難殉難者各霊供養、交通安全御守護のために建立されたそうじゃ。東京大空襲慰霊の卒塔婆も置かれている。
「あづま地蔵」の横にある降り口から降りてテラスにを歩く。折しも、川を上ってきた「ヒミコ」が、今まで停泊していた水上バスを追い出すように入ってきた。今夕からこのテラスもふくめた墨田区役所うるおい広場で4日間に亘って「吾妻橋フェスト」が開催されるということじゃ。
吾妻橋は、雷門通り通し西岸は台東区雷門2丁目、および花川戸1丁目を分かち、東岸は墨田区吾妻橋1丁目。西岸の交叉点には浅草1丁目がかかり、神谷バーなど、いわゆる浅草の中心に近い橋である。また、東岸にはアサヒビール本社などが入る墨田リバーサイド地区がある。桜の名所として著名?な隅田公園はこの橋がほぼ南端にあたる。東武伊勢崎線・東京メトロ銀座線・都営地下鉄浅草線の浅草駅はこの橋の西岸にあり、東岸約500メートル先にこの橋の名を冠した本所吾妻橋(都営浅草線)がある。東京観光汽船の桟橋である浅草ステーションが橋の西詰に設けられている。ここから浜離宮を経由して東京港日の出桟橋まで運行されている隅田川ライン(水上バス)が出発しているので、隅田川下りの拠点の一つとしても著名な?地点でもあるんじゃ。
創架は安永3(1774)年10月のことで、それまでは「竹町の渡し」(「駒形の渡し」とも呼ばれ、現在の吾妻橋と駒形橋のほぼ中間の場所にあった渡しで吾妻橋が架橋されたことによって利用者は減ったものの、明治 9(1876)年まで運行されていた記録が残っている)という渡し舟があった場所じゃという。江戸5橋(千住大橋・両国橋・新大橋・永代橋・吾妻橋)のうち最後の橋であり、明和6(1769)年4月に浅草花川戸の町人伊右衛門と下谷竜泉寺の源八の嘆願が幕府によって許可され、着工後5年で完成したもので、長さ八十四間(約150m)、幅三間半(約6.5m)の橋で、武士以外の全ての通行者から2文ずつの通行料を取ったと記録に残っているそうじゃ。天明6(1786)年7月18日の洪水の際に永代橋、新大橋がことごとく流され、両国橋も大きな被害を受ける中で無傷で残り、架橋した大工や奉行らが褒章を賜ったという。その後も幾度かの架け替えが行われたようじゃ。
吾妻橋の浮世絵
震災前の吾妻橋
この最後の木橋は明治18(1885)年7月の大洪水で初めて流出した千住大橋の橋桁が上流から流されてきて橋脚に衝突。一緒に流失してしまう。そのために明治20(1887)年12月9日に隅田川最初の鉄橋として再架橋された。鋼製プラットトラス橋で、人道橋、車道橋、鉄道(東京市電)橋の3本が平行して架けられていた。後に関東大震災によって木製だった橋板が焼け落ちてしまい、一時的な補修の後昭和6(1931)年に現在の橋に架け替えられたということじゃ。
台東区側テラスからの全景
水上バスステーション横の渡り口
西詰、下流側の渡り口
平成4年の改修で塗装が青白色から赤色に変わり、夜もライトアップされてレッドブリッジを強調するが、これは浅草寺の紅柄(べんがら)色に相和したものであるということじゃ。
吾妻橋の東詰には、開園時の「隅田公園入口」の石柱が今も残っており、裏には「昭和七年四月吉日復興完成記念」の文字が見てとれる。
あづま地蔵
ステーションに入る船と出る船の交替
「あづま地蔵」の横にある降り口から降りてテラスにを歩く。折しも、川を上ってきた「ヒミコ」が、今まで停泊していた水上バスを追い出すように入ってきた。今夕からこのテラスもふくめた墨田区役所うるおい広場で4日間に亘って「吾妻橋フェスト」が開催されるということじゃ。
プロフィール
ハンドルネーム:
目高 拙痴无
年齢:
93
誕生日:
1932/02/04
自己紹介:
くたばりかけの糞爺々です。よろしく。メールも頼むね。
sechin@nethome.ne.jp です。
sechin@nethome.ne.jp です。
カレンダー
| 12 | 2026/01 | 02 |
| S | M | T | W | T | F | S |
|---|---|---|---|---|---|---|
| 1 | 2 | 3 | ||||
| 4 | 5 | 6 | 7 | 8 | 9 | 10 |
| 11 | 12 | 13 | 14 | 15 | 16 | 17 |
| 18 | 19 | 20 | 21 | 22 | 23 | 24 |
| 25 | 26 | 27 | 28 | 29 | 30 | 31 |
最新コメント
[enken 02/23]
[中村東樹 02/04]
[m、m 02/04]
[爺の姪 01/13]
[レンマ学(メタ数学) 01/02]
[m.m 10/12]
[爺の姪 10/01]
[あは♡ 09/20]
[Mr.サタン 09/20]
[Mr.サタン 09/20]
最新トラックバック
ブログ内検索
カウンター