瘋癲爺 拙痴无の戯言・放言・歯軋り
小松橋通りを西進、国際通りを北進、鷲神社に立ち寄る。ここはお酉様で有名な神社で、境内にはお酉様について書いたり詠ったりした歌碑や句碑、文学碑が並ぶ。



国際通りを南下、雷門通りに沿う北側の路地を歩いてみた。こんな繁華街のど真ん中に今日見つけた神社だけで、国際通りに感應稲荷、八幡宮、そして雷門通り裏の飲み屋街の中に手洗稲荷・無聿富稲荷と同じ丁目の同じ番地に2つの稲荷がある。まあ再度、訪ねてみることにして、吾妻橋を渡り、墨田区側の遊歩道を北上していると、向こうからくるワンさんに出会った。昨日猿若デンタルで前歯を1本抜いたので、思うように話も出来ず、そのまま別れ帰宅した。9558歩、6.2㎞の記録であった。
鷲神社の祭神は天日鷲命(あめのひわしのみこと)と日本武尊(やまとたけるのみこと)で、縁起では「天照大御神の岩戸隠れで天手力男命(あめのたぢからおのみこと)が天之岩戸を開き、天手力男命の子が弦という楽器を演奏し、その弦に鷲がとまったのでこの神を天日鷲命と称する様になった」とある。また、日本武尊東征討の時、社前の松に熊手(武器)をかけて戦勝を祝ったとある。日本書紀の天の岩戸の一書に「粟の国の忌部(いんべ)の遠祖天日鷲命の作る木綿(ユフ)を用い」とあり、天日鷲命が登場する。延喜式神名帳によれば、阿波国には忌部神社があり麻植神あるいは天日鷲神と称すとある。
古語拾遺(斎部広成《いんべのひろなり》著の歴史書。1巻。807年成立)によると、忌部氏の祖は天太玉命(あめのふとだまのみこと)でこれに従う五神があり、そのうちのひとりが天日鷲命。天日鷲命は穀(カジノキ)・木綿などを植えて白和幣を作ったとされ、その子孫が木綿・麻布などを朝廷に貢上しているという。天太玉命の孫の天富命(あめのとみのみこと)は、阿波忌部を率いて東国に渡り、麻・穀を植え、また太玉命社を建てたのが安房社で、これが安房の地名の源になったという。木綿ユウ(タク布)は梶(カジノキ)の皮で作る布で、麻とならんで重要な古代の繊維で、東南アジア~ポリネシア、ハワイではタパと称しているそうだ。

日本武尊は隅田川周辺に複数の伝承があって先住者と抗争した様子が見えないから、ここでも繊維を作る人々が祀る祖先神(天日鷲命)に日本武尊が戦勝祈願した可能性はありそうである。ただし、鷲神社は江戸名所図会(1832年)には記載がなく、江戸末期の地図(1860年頃)ではじめて登場する。この時代は天保の大飢饉、江戸大火、奢侈禁止令など経済の困窮時代であるから江戸末期に商売繁盛を願う人々が創設したか、あるいは別の祭礼を商売繁盛に変化させていったのかもしれない。
吉原への入り口は日本堤の大門だけであるが、鷲神社の酉の市の日だけは裏木戸を開けてここからも吉原へ入れるようにしていたという。

足立区の花畑(旧花亦村)に大鷲神社というのがある。利根川水系の低湿地帯に大宮台地がはいりこむ位置にあって、花畑古墳群があり(現在は住宅地となって消滅)円筒埴輪が出土している。ここから2.5kmほど西には古墳時代の集落跡と伊興古墳群もあるのである。江戸名所図会によれば花亦村の農民が酉の日に鶏を奉納し、浅草寺の堂前にはなつ(図会2)のを旧例としていたそうである。江戸名所図会の記述では、「縁起と御祭神不明なれどかっては土師大明神であり浅草寺の奥の院とも世俗がいうところから、浅草寺の縁起である土師臣中知との関連の縁起であり、出雲臣の祖天穂日の子であり土師氏の祖である建比良鳥命を祀り、ハジがなまってワシとなったのではないか」、と類推している。すなわち江戸時代の花畑(花亦村)の大鷲大明神はオオワシであってトリではなかったということである(こちらも日本武尊が縁起)。
花畑の土師(土器造)の祖の建比良鳥命と浅草の繊維の祖の天之日鷲命とが結合し、花畑の大鷲神社の酉の日の放生会が江戸末期に浅草で商売繁盛に変化して「浅草の鷲神社」が登場したと考えることができるのだろうか? 花畑の大鷲神社がオオトリと称されるようになるのは浅草の鷲神社オオトリの酉の市が盛んとなってからのことかもしれない。
浅草鷲神社の隣に長国寺があって長国山鷲山寺(開祖は日蓮、千葉県茂原市鷲巣)の末寺で1823年に鷲大明神を開帳したという。鷲神社の事実上の別当だったということなのである。江戸名所図会には記載なく江戸末期の地図にはあることからも鷲神社の創祀はこのときとみてよいだろう。花畑の大鷲神社の別当は鷲王山正覚院で真言宗であるから寺としては長国寺とは無関係なのであろう。鷲王山と鷲山、どっちも鷲、神社名の由来はここからかもしれず、いわば偶然の一致なのか? 熊手の販売は花畑が先で、浅草での熊手販売は酉の日だけに限って認められていたのだという(安永年間《1772~1782年》の協定らしい)。
花畑の熊手は実用品として古くから鶏を放す放生会のときの「浅草の市」で売られていたという。このときに縁起物の熊手も登場していたかもしれないが、有名になるのは1823年に開帳された長国寺の鷲大明神と酉の市からではないだろうか? もともと当地に日本武尊伝承もあって、花畑の大鷲神社の伝承と熊手ともどもに取り込まれたと考えることができそうである。
熊手にくっついているお多福(おかめ)の面は何故なのだろうか。京都で最古とされる大報恩寺の本堂建立(国宝、1227年頃とされる)の棟梁の女房の「おかめ(阿亀)」伝承がある。もうひとつ、江戸時代中期~明治初期の禅宗の僧の書物に「ある説に、足利の末頃のある神社に亀女という巫子がいて天鈿賣命(アメノウズメノミコト)を信仰していた、その見目は悪いが愛敬があって心も好く、どんな悪者も亀女を見ると改心したことからその顔を面にしてお多福と名づけて広めたという、一説には宇受売命(うずめのみこと)の御顔に似せたとも伝えられる」とあるそうだ。
「阿亀」伝承はいささか興味半分でもあり、鷲神社との関連性がみえないが、「亀女」伝承は天之日鷲命と天の岩戸の関係から天鈿賣命が重なってくる。吉原遊郭では遊女が遊びでお多福の面を使って興じていたそうで、洒落で熊手に吉原の遊びが加わったのではと推測できるが……
鷲神社の祭神は天日鷲命(あめのひわしのみこと)と日本武尊(やまとたけるのみこと)で、縁起では「天照大御神の岩戸隠れで天手力男命(あめのたぢからおのみこと)が天之岩戸を開き、天手力男命の子が弦という楽器を演奏し、その弦に鷲がとまったのでこの神を天日鷲命と称する様になった」とある。また、日本武尊東征討の時、社前の松に熊手(武器)をかけて戦勝を祝ったとある。日本書紀の天の岩戸の一書に「粟の国の忌部(いんべ)の遠祖天日鷲命の作る木綿(ユフ)を用い」とあり、天日鷲命が登場する。延喜式神名帳によれば、阿波国には忌部神社があり麻植神あるいは天日鷲神と称すとある。
古語拾遺(斎部広成《いんべのひろなり》著の歴史書。1巻。807年成立)によると、忌部氏の祖は天太玉命(あめのふとだまのみこと)でこれに従う五神があり、そのうちのひとりが天日鷲命。天日鷲命は穀(カジノキ)・木綿などを植えて白和幣を作ったとされ、その子孫が木綿・麻布などを朝廷に貢上しているという。天太玉命の孫の天富命(あめのとみのみこと)は、阿波忌部を率いて東国に渡り、麻・穀を植え、また太玉命社を建てたのが安房社で、これが安房の地名の源になったという。木綿ユウ(タク布)は梶(カジノキ)の皮で作る布で、麻とならんで重要な古代の繊維で、東南アジア~ポリネシア、ハワイではタパと称しているそうだ。
吉原への入り口は日本堤の大門だけであるが、鷲神社の酉の市の日だけは裏木戸を開けてここからも吉原へ入れるようにしていたという。
花畑の土師(土器造)の祖の建比良鳥命と浅草の繊維の祖の天之日鷲命とが結合し、花畑の大鷲神社の酉の日の放生会が江戸末期に浅草で商売繁盛に変化して「浅草の鷲神社」が登場したと考えることができるのだろうか? 花畑の大鷲神社がオオトリと称されるようになるのは浅草の鷲神社オオトリの酉の市が盛んとなってからのことかもしれない。
花畑の熊手は実用品として古くから鶏を放す放生会のときの「浅草の市」で売られていたという。このときに縁起物の熊手も登場していたかもしれないが、有名になるのは1823年に開帳された長国寺の鷲大明神と酉の市からではないだろうか? もともと当地に日本武尊伝承もあって、花畑の大鷲神社の伝承と熊手ともどもに取り込まれたと考えることができそうである。
熊手にくっついているお多福(おかめ)の面は何故なのだろうか。京都で最古とされる大報恩寺の本堂建立(国宝、1227年頃とされる)の棟梁の女房の「おかめ(阿亀)」伝承がある。もうひとつ、江戸時代中期~明治初期の禅宗の僧の書物に「ある説に、足利の末頃のある神社に亀女という巫子がいて天鈿賣命(アメノウズメノミコト)を信仰していた、その見目は悪いが愛敬があって心も好く、どんな悪者も亀女を見ると改心したことからその顔を面にしてお多福と名づけて広めたという、一説には宇受売命(うずめのみこと)の御顔に似せたとも伝えられる」とあるそうだ。
「阿亀」伝承はいささか興味半分でもあり、鷲神社との関連性がみえないが、「亀女」伝承は天之日鷲命と天の岩戸の関係から天鈿賣命が重なってくる。吉原遊郭では遊女が遊びでお多福の面を使って興じていたそうで、洒落で熊手に吉原の遊びが加わったのではと推測できるが……
PR
小松橋通りを西に進む。馬道を横切って、淺草警察署の筋向い、富士小学校の前が淺草富士「浅間神社」である。江戸初期から現在に至るまで、浅草や蔵前付近の人々の信仰を集めてきたという。明治11年の造営であるというが、10年ほど前改修工事があり、外観だけ新たに漆喰塗を施してある。土蔵造りの神社は、江戸から明治時代には江戸・東京の各地にあったようだが、現在ではほとんど見ることができないという。礼拝対象物では、江戸初期制作の「木花咲耶姫命坐像(このはなさくやひめのみことざぞう)」、慶応3(1867)年銘の「銅造猿倚像(どうぞうさるいぞう)」、江戸末期と思われる「五行御身抜(ごぎょうおみぬき)」(富士講の本尊)など、江戸時代のものが現存している。さらに、祭祀用具では、富士山頂の様子を描いた安政5(1858)年銘の「富士山絶頂図」、明治時代奉納の「鏡・鏡台」や、富士講の幟旗である「マネキ」等があるという。
さらに、小松橋通りを西進し、国際通りを北上。千束稲荷神社に立ち寄り、明治通りを白鬚橋西まで進み、隅田川沿いの遊歩道を南下して帰宅した。橋場と今戸の境にテラスへの昇降口があるが、ここから見る東京スカイツリーは工事の進捗状況がよく判る。9666歩、6.2kmを記録した。


淺草富士「浅間神社」の境内地は盛土となっているが、江戸初期までの浅間神社は、こうした盛土上に勧請する場合が多かったようで、江戸初期以前に勧請された浅間神社の景観をよく伝えているのだという。
説明板に曰く、「浅間神社 は、富士山への信仰に基づき勧請された神社で神体として木造坐像「木花咲耶姫命」(このはなさくやひめのみこと)を安置する。/創建年代は不明だが、『浅草寺志』所収「寛文十一年江戸絵図」に表記があり、江戸時代初期の寛文十一年(一六七一)までには鎮座していたようである。現在の鎮座地は、約二メートルほどの高みを成しているが、中世から江戸初期にかけて、関東地方では人工の塚、あるいは自然の高みに浅間神社を勧請する習俗があったものとされ、当神社の立地もそうした習俗に基づくものと思われる。/江戸時代には浅草寺子院修善院の管理のもと、修験道による祭祀が行われ、江戸を代表する富士信仰の聖地として、各所の富士講講員たちの尊崇を集めた。明治維新後は浅草寺の管理を離れ、明治六年には浅草神社が社務を兼ねることとなり、現在に至っている。/本殿は、平成九・十年の改修工事によって外観のみ新たに漆喰塗が施されたが、内部には明治十一年建築の土蔵造り本殿が遺されている。さらに、この改修工事に伴う所蔵品調査により、江戸時代以来の神像・祭祀用具・古文書などが大量に確認された。/これら、本殿・諸資料群・境内地は、江戸時代以後の江戸・東京における富士信仰のありさまを知る上で貴重であり、平成十一年三月、台東区有形民俗文化財に指定された。/祭礼は、毎年七月一日の「富士山開き」が著名で、また、五・六月の最終土・日曜日には植木市が開催されている。」
千束稲荷神社の祭神は倉稲魂命(うかのみたまのみこと)で、江戸時代四代将軍家綱公の寛文年間創設で、浅草一円を千束郷と称しその千束郷に上下二社の稲荷社がつくられた。千束稲荷神社はその下社で北千束郷の氏神で、寛永6年発行の地図に”チヅカイナリ”と称された。現状の神社になったのは、明治5年太政官令により竜泉寺町一円の氏神となり現在にいたる。



鳥居には、江戸時代後期の儒者、書家、詩人の亀田鵬斎の名が刻まれている。また、初午祭(二の午の日)には、百灯余りの地口行灯が飾られ、千束稲荷神社は樋口一葉「たけくらべ」の明治26~7年の祭礼が舞台となり、子供達が遊んだ神社とし有名である。平成20年5月には本神社が一葉の「たけくらべ」由来の地と言う事にともない氏子達が本殿向かって左手に一葉の胸像を建立している。碑文には「明日ハ鎮守ナル千束神社ノ大礼ナリ今慶ハ珠ニニギハシク山車ナドヲモ引キ出ルトテ人々サワグ」と記されている。
淺草富士「浅間神社」の境内地は盛土となっているが、江戸初期までの浅間神社は、こうした盛土上に勧請する場合が多かったようで、江戸初期以前に勧請された浅間神社の景観をよく伝えているのだという。
説明板に曰く、「浅間神社 は、富士山への信仰に基づき勧請された神社で神体として木造坐像「木花咲耶姫命」(このはなさくやひめのみこと)を安置する。/創建年代は不明だが、『浅草寺志』所収「寛文十一年江戸絵図」に表記があり、江戸時代初期の寛文十一年(一六七一)までには鎮座していたようである。現在の鎮座地は、約二メートルほどの高みを成しているが、中世から江戸初期にかけて、関東地方では人工の塚、あるいは自然の高みに浅間神社を勧請する習俗があったものとされ、当神社の立地もそうした習俗に基づくものと思われる。/江戸時代には浅草寺子院修善院の管理のもと、修験道による祭祀が行われ、江戸を代表する富士信仰の聖地として、各所の富士講講員たちの尊崇を集めた。明治維新後は浅草寺の管理を離れ、明治六年には浅草神社が社務を兼ねることとなり、現在に至っている。/本殿は、平成九・十年の改修工事によって外観のみ新たに漆喰塗が施されたが、内部には明治十一年建築の土蔵造り本殿が遺されている。さらに、この改修工事に伴う所蔵品調査により、江戸時代以来の神像・祭祀用具・古文書などが大量に確認された。/これら、本殿・諸資料群・境内地は、江戸時代以後の江戸・東京における富士信仰のありさまを知る上で貴重であり、平成十一年三月、台東区有形民俗文化財に指定された。/祭礼は、毎年七月一日の「富士山開き」が著名で、また、五・六月の最終土・日曜日には植木市が開催されている。」
千束稲荷神社の祭神は倉稲魂命(うかのみたまのみこと)で、江戸時代四代将軍家綱公の寛文年間創設で、浅草一円を千束郷と称しその千束郷に上下二社の稲荷社がつくられた。千束稲荷神社はその下社で北千束郷の氏神で、寛永6年発行の地図に”チヅカイナリ”と称された。現状の神社になったのは、明治5年太政官令により竜泉寺町一円の氏神となり現在にいたる。
吉原神社の祭神は、稲荷神である倉稲魂命(うかのみたまのみこと)と弁天様である市杵嶋姫命(いちきしまひめのみこと)で、開運、商売繁昌、技芸上達などの神徳があるとされている。
五十間通りに古来から鎮座した大門外高札場の玄徳稲荷(よしとくいなり)と、吉原京町二丁目の南の隅にあった九郎助稲荷、江戸町一丁目の榎本稲荷、江戸町二丁目の明石稲荷、京町一丁目の松田稲荷(一名海運稲荷)を明治5(1872)年に合祀して吉原神社が創建された。中でも一番信仰を集めたのは九郎助稲荷で京都の遊郭にも祀られており、テレビドラマ「お江戸吉原事件帳」にもしばしば出てくる。歴史も古く、和銅4(711)年に白狐黒狐がが天下るのを見た千葉九郎助という人の手で、元吉原の地に勧請され、吉原遊廓でも祭礼の日には即興演劇や花魁が参詣するとき行列を仕立てて練り歩くなどがあったという。廊の千束村への移転にともなって、浅草新吉原の地にふたたび勧請されたという。明治8年に焼失して大門外に再建され、昭和9年に現在地へ移転し花園公園内の弁財天も合祀されたという。
ここ台東区にも、多くの稲荷神社があるようで、そのうち大半は地図にも載っていない。山谷掘公園に沿って歩いてみた。山谷掘には今戸橋・聖天橋・吉野橋・山谷掘橋・正法寺橋・紙洗橋・地方新橋・地方橋・日本堤橋と9つの橋が架かっていてが、今はすべて埋め立てられて、橋桁が残っているだけである。正法寺橋の西に隣接して合力稲荷神社というのがある。この場所は35年ほど前、爺のおふくろが東京で亡くなった時、千束の聖愛病院に入院していたので、よく通った道であるが、こんな稲荷神社があったことは記憶にない。
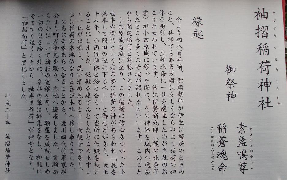
山谷掘公園をさらに北上して紙洗橋あたりから公園は馬道通りと並行するようになる。馬道通りを渡り、淺草5丁目に入り、やはり35年ほど前、腹痛で救急車で運ばれ十二指腸潰瘍と診断された北条病院というのがあるが、その直ぐそばに袖摺稲荷神社というのがビルの2階を利用してあった。どうもこの稲荷神社も以前に通った事があるはずなのだが、とんと記憶にない。まあ、この辺りも山谷掘公園が出来てかなり、環境が変化しているので、無理からぬことかもしれない。いずれにしても、爺が42歳の厄年は碌なとしではなかった。
吉野通りまで引き返すと、この通りを北上。アサヒ会商店街から、吉野通りの1つ東側の路地を北上すると、玉姫神社の西に位置するところに、寶珠稲荷神社というのがあった。いやはや、山谷のドヤ街のこんな所にこんな稲荷神社があるとは知らなかった。
玉姫神社の傍を通り抜け、昨日通った橋場と清川を分ける通りを北上、明治通りを横切って、北上してみた。東京ガステクノステーションの正門前で、中を見ると稲荷神社らしきものがあったが、正門が閉まっていて中に入れない。ガステクノステーションの北側を通って、石濱神社に出る。白鬚橋西の交差点の処で、ワンさんと出会う。
隅田川に並行する遊歩道を南下、桜橋中学の風車の下に柘榴が実っている。珍しいので、カメラに収めて、帰宅した。9315歩、6.0㎞を記録していた。
合力稲荷神社は山谷堀公園沿(正法寺橋の西)に隣接する小さな神社である。江戸永禄年間 山谷村の百姓一同が村の鎮守としたという。祭神は食を司る神である保食命(受け持ちの命)を祀る。




袖摺稲荷神社の祭神は倉稲魂命(うがのみたまのみこと)と素盞鳴尊(すさのおのみこと)である。境内にある案内板の説明は『続御府内備考(都市江戸の寺院についての第一級の基礎史料、東京都公文書館保存)』所収の縁起によるものと思われる。
ネットを徘徊すると、「紀伊の国」という端唄があった。玉姫・三囲・合力・袖摺・真先・九郎助と有名どころの稲荷がすべて唄い込まれ、それも三囲稲荷へ嫁ぐはずだった玉姫稲荷が真っ黒九郎助稲荷にかどわかされて、子供までつくってしまったという話なのである。曰く、「紀伊の国は 音無川の水上に/立たせたまふは 船玉山/船玉十二所大明神 /さて 東国にいたりては/玉姫稲荷が 三囲へ/狐の嫁入り お荷物を/ 担へば 強力稲荷さま/頼めば 田町の袖摺も/さしづめ 今宵は待ち女郎/仲人は真前 真黒九郎助稲荷につまされて/子まで生したる信太妻」

寶珠稲荷神社は山谷地区の玉姫稲荷神社より東に入った位置にある神社で、創建は不明なれども北条氏が天正17(1589)年に京都伏見稲荷より浅草町に勧誘したのが始まりという。その後、駒形広小路、本所亀戸村と移転を繰り返し、天和2(1982)年当地に移ったということである。
山谷掘公園をさらに北上して紙洗橋あたりから公園は馬道通りと並行するようになる。馬道通りを渡り、淺草5丁目に入り、やはり35年ほど前、腹痛で救急車で運ばれ十二指腸潰瘍と診断された北条病院というのがあるが、その直ぐそばに袖摺稲荷神社というのがビルの2階を利用してあった。どうもこの稲荷神社も以前に通った事があるはずなのだが、とんと記憶にない。まあ、この辺りも山谷掘公園が出来てかなり、環境が変化しているので、無理からぬことかもしれない。いずれにしても、爺が42歳の厄年は碌なとしではなかった。
吉野通りまで引き返すと、この通りを北上。アサヒ会商店街から、吉野通りの1つ東側の路地を北上すると、玉姫神社の西に位置するところに、寶珠稲荷神社というのがあった。いやはや、山谷のドヤ街のこんな所にこんな稲荷神社があるとは知らなかった。
隅田川に並行する遊歩道を南下、桜橋中学の風車の下に柘榴が実っている。珍しいので、カメラに収めて、帰宅した。9315歩、6.0㎞を記録していた。
合力稲荷神社は山谷堀公園沿(正法寺橋の西)に隣接する小さな神社である。江戸永禄年間 山谷村の百姓一同が村の鎮守としたという。祭神は食を司る神である保食命(受け持ちの命)を祀る。
ネットを徘徊すると、「紀伊の国」という端唄があった。玉姫・三囲・合力・袖摺・真先・九郎助と有名どころの稲荷がすべて唄い込まれ、それも三囲稲荷へ嫁ぐはずだった玉姫稲荷が真っ黒九郎助稲荷にかどわかされて、子供までつくってしまったという話なのである。曰く、「紀伊の国は 音無川の水上に/立たせたまふは 船玉山/船玉十二所大明神 /さて 東国にいたりては/玉姫稲荷が 三囲へ/狐の嫁入り お荷物を/ 担へば 強力稲荷さま/頼めば 田町の袖摺も/さしづめ 今宵は待ち女郎/仲人は真前 真黒九郎助稲荷につまされて/子まで生したる信太妻」
今日から8月。曇り空で何時もより気温も低かった。墨堤通りを北上、東白鬚公園を抜けて、水神大橋を渡る。汐入公園を南下、明治通りを清川2丁目の信号まで西進。橋場と清川を分ける通りを南下、今戸神社に立ち寄り、帰宅。9768歩、6.3㎞を記録。



今戸神社の祭神は應神天皇で伊弉諾尊 伊弉冉尊を合祀する。康平6(1063)年に源頼義と源義家が勅命で奥州の安部貞任を征討するとき、鎌倉の鶴ケ岡と浅草今之津村に京都の石清水八幡を両社に勧請したのを縁起とする(今戸八幡宮)。1081年源義家が参拝し勝利したので社殿を修復し、1190年に奥州征討に勝利した源頼朝が社殿を再建し、後に神領を寄進したという。その後兵火によって何度も社殿を失うが、1636年に徳川家光が江戸城改築の残材によって再建しているという。関東大震災で全壊したが復興し、昭和12年に浅草新町にあった白山神社と合祀されて今戸八幡宮から今戸神社に改称されている(白山神社は千葉氏が1441年に加賀の白山比咩神社を勧請したもの)。

縁起によれば当地の地名は今之津の呼称となっており、新編武蔵風土記稿にも北条役帳の記載地名は石浜今津であったとある。その後に今都となり、江戸正保図(1643~1647年)では今戸村となっているから江戸初期に津~都~戸に変化しているとみえる。かっては「津」であり船着き場の機能を持っていたものが、隅田川治水と東岸の陸地化によって湊ではなくなったための地名変更と思われる。南に山谷堀、北西に日本堤の起点がある。旧千束池が埋め立てられて江戸の市街地が広がってゆくが、そこを洪水から守りその北側が遊水池となるように築堤されたのが日本堤で、山谷堀は遊水池の排水路として掘られたものであろう。

千住から石浜付近へ汐入土手が作られているが、江戸の発達とともに遊水池側も市街化して築堤されたものであろう。山谷堀は吉原へ通う唯一の水路で、猪牙船(チョキブネ)で遊客を運び、今戸橋の上を渡る人より船で橋をくぐる人の方が多いといわれ、山谷堀の北には高級料理屋の八百善があった(現在は江戸東京博物館内にある料理店八百善がその名を継承している)。
天保12(1841)年に現在の日本橋人形町にあった歌舞伎の中村座(猿若)と市村座が焼失し、贅沢禁止令もあって歌舞伎廃絶の危機にあったとき、町奉行遠山金四郎の計らいで当地に移転して存続したと伝えられる。しかし、明治になってそれらは当地を離れてゆき、関東大震災後では遊興街の面影は薄くなってしまった。当地は今戸焼きで有名でしられているが、文献上の歴史は新しく、1580頃に千葉氏の家臣がここで焼き物を始めたとか、徳川家康入城後に三河の陶工が移住してきたなどとされている。しかし、浅草寺縁起に土師氏が関与しているところから、その起源ははるか古代に遡る可能性もみえるところではある。



近隣に浅草浅草寺の支院の待乳山本龍院(待乳山聖天)がる。推古天皇時代に干ばつで村民が苦しんでいたときに十一面観音が歓喜天に姿をかえて村民を救ったことが縁起となっている。江戸初期の開発では隅田川西岸の砂利や土砂が採掘されて、丘であった場所が平坦になったのだが、真土山だけが残り展望の名所となっていたのである。
今戸神社の祭神は應神天皇で伊弉諾尊 伊弉冉尊を合祀する。康平6(1063)年に源頼義と源義家が勅命で奥州の安部貞任を征討するとき、鎌倉の鶴ケ岡と浅草今之津村に京都の石清水八幡を両社に勧請したのを縁起とする(今戸八幡宮)。1081年源義家が参拝し勝利したので社殿を修復し、1190年に奥州征討に勝利した源頼朝が社殿を再建し、後に神領を寄進したという。その後兵火によって何度も社殿を失うが、1636年に徳川家光が江戸城改築の残材によって再建しているという。関東大震災で全壊したが復興し、昭和12年に浅草新町にあった白山神社と合祀されて今戸八幡宮から今戸神社に改称されている(白山神社は千葉氏が1441年に加賀の白山比咩神社を勧請したもの)。
天保12(1841)年に現在の日本橋人形町にあった歌舞伎の中村座(猿若)と市村座が焼失し、贅沢禁止令もあって歌舞伎廃絶の危機にあったとき、町奉行遠山金四郎の計らいで当地に移転して存続したと伝えられる。しかし、明治になってそれらは当地を離れてゆき、関東大震災後では遊興街の面影は薄くなってしまった。当地は今戸焼きで有名でしられているが、文献上の歴史は新しく、1580頃に千葉氏の家臣がここで焼き物を始めたとか、徳川家康入城後に三河の陶工が移住してきたなどとされている。しかし、浅草寺縁起に土師氏が関与しているところから、その起源ははるか古代に遡る可能性もみえるところではある。
近隣に浅草浅草寺の支院の待乳山本龍院(待乳山聖天)がる。推古天皇時代に干ばつで村民が苦しんでいたときに十一面観音が歓喜天に姿をかえて村民を救ったことが縁起となっている。江戸初期の開発では隅田川西岸の砂利や土砂が採掘されて、丘であった場所が平坦になったのだが、真土山だけが残り展望の名所となっていたのである。
熱田神社の祭神は日本武尊、橘姫命であるが、境内社として、厳島神社(素盞鳴尊、田霧姫命、淵津姫命、市杵島姫命、倭姫命)と豊川出世稲荷神社(大物主命、豊受姫命)がある。他に疫神、麻疹神、霊神を祀る祠があるというが、確かめることは出来なかった。
主神の日本武尊は神剣を火上山(名古屋市緑区大高町)に留め置いたまま三重県亀山市能褒野(のぼの)で亡くなられた。尊の妃である宮簀媛命(みやすひめのみこと)は、神剣天叢雲剣(あめのむらくものつるぎ)を熱田の地に祀り、これが熱田神宮の創始となる。橘姫命(弟橘姫命)は日本武尊の妃で、忍山宿禰(おしやまのすくね)の娘。日本武尊が東国平定の途次、相模国走水(横須賀市)から海路房州に向かった時、不意に海が荒れ狂い、難破の危機に直面した。橘姫命は竜神の祟りであるとして、日本武尊を救うため、竜神を慰めるべき海に身を投げた。この伝承により、この神は夫婦和合の御神徳とともに、海難防除の御利益を持たれるとされる。
安芸国の厳島神社は天照大神と素盞鳴尊の誓約(うけひ)により生まれ出た宗像三女神《市杵島姫命(いちきしまひめのみこと)、田心姫命(たこりひめのみこと、又の名を田霧姫命)、湍津姫命(たぎつひめのみこと、淵津姫命とも書く)》を祭神とするが、ここの境内社の厳島神社はこのほかに素盞鳴尊、倭姫命(やまとひめのみこと、日本武尊の叔母で東征へ向かう日本武尊に天叢雲剣を与える)を祭神としている。豊川出世稲荷神社の方の祭神は、大物主命・豊受姫命となっているが、この両者の関係は良く判らない。
午前3時に雷鳴とともに驟雨、3・40分続く。雨の音で眼が覚め、以降蒸し暑く眠られず。
5時前に家を出て、昨日と同じ道を水神大橋まで歩く。川風が汗ばんだ肌を心地よく撫でてくれる。遊歩道を南下、明治通りを清川2丁目の信号で左折、橋場と清川を分ける通りを南下。途中玉姫神社に立ち寄り、今戸神社前を通って、待乳山聖天公園に来ると、人気なし。「おや、夜中の雨でラジオ体操はお休みなのか?」この辺りのラジオ体操の会場には、石浜公園にしろ、今戸公園にしろ、今戸神社も牛嶋神社もちゃんと「ラジオ体操会場」と標示が掲げられているが、ここ聖天公園は何の掲示もなし。そのうちに首からラジオ体操の出席表をぶら下げたチビちゃん達がチラホラと集まってきた。まあ、このラジオ体操も8月31日で終わりなんだそうだ。たった2週間しかなくしかも日曜は休みとて来ているから、標示をだすほどのこともないのだろう。本日の10704歩、6.9kmの記録であった。

玉姫稲荷神社は社伝によると、天平4年(760)、京都伏見稲荷の分霊を勧請し創建された。祭神は勿論、宇迦之御魂命(うかのみたまのみこと)、『江戸砂子増補』(文政10 (1827) 年刊)にも著されている。曰く、「此社は山城国稲荷山のいなり(伏見稲荷大社)を遷ししなり。王子村岸稲荷(現王子稲荷神社)と神縁ありと云伝ふ。御玉姫いなりといふも故ある事なり。正慶2年(1333)、新田義貞朝臣、鎌倉の(北条)高時を追討のみきり、弘法大師直筆の像を襟掛にし給ひしを、瑠璃の玉塔にこめて当所におさめまつり給ふ故に、御玉ひめ稲荷と称するよし」俗説に「昔このあたりに住んでいた砂尾長者という金持ちの一人娘で,恋に破れて鏡が池に身を投げて命を絶った玉姫を祭ったことから玉姫稲荷と呼ばれるようになった」といわれる。明治5年11月17日に村社に列せられたという。
江戸時代の玉姫稲荷神社の景勝について『遊歴雑記』に記述がある。曰く、「武州豊島郡三谷町の東裏、玉姫稲荷の宮は浅ぢが原の西、耕地の中弐町にあり。社内尤(もっとも)広く、東南北の三方の耕地を見はらし、元より江戸の片ほとりの田舎なれば、社内の廻り、垣根等の構えなく、松・杉こころのままに繁茂し、木の間に古樹のさくらも四五株あれど、誰手折るいたづらなければ天然に咲乱れ、道敷の外は芝生じて苅込ざるに、そのうつくしさ人のあそぶ事邂逅(たまさか)なれば、諸鳥此神地に求食、市中に遠からずして、而も閑寂の勝地たり。扨又(さてまた)、風色の天然、眺望の面しろき、田の畦には摘草する徒あり。又、田螺(たにし)拾ふ人あり。或は畦路を人の行き通ふ。花あり、芽出しの樹々あり。扨遥に北西をかえり見れば、千住・小塚原より縄手路を三谷へ往来の、引もちぎらざる、田に畑に菜のはなの見事なる、その景望一々兎角の論なし。(『遊歴雑記』初篇之中-22)」
古くから商売繁盛の神として信仰を集め、初午祭り(2月最初の午の日)には参詣者で賑う。また、近年は春と秋に玉姫稲荷の境内を中心に「こんこん靴の市」が開かれることでも知られている。これは氏子の靴関連業者が商売繁盛を願って開く市で、市価より大幅に安い値段で販売されるという。

摂社の口入稲荷大神は殊に商売繁盛にご利益のあらたかな社として、古来崇敬されてきたという。祈願にあたっては、先ず羽織を着た立姿のお狐さんのお姿(今土焼人形)をうけて持ち帰り神棚に祀り、願いが成就したら、更にもう一体の土人形を受け、一対にして御礼を申し上げるようにする慣わしとなっている。なお「良縁祈願」にあたっては裃を着たお狐さんの姿にて祈願することとなっているということである。口入稲荷大神は衣食住を守る稲荷で、江戸新吉原にあった高田屋という口入宿(今でいうところの職業安定所)の邸内に年久しく鎮座してあったが、安永年間(1772~1780年)のこと、この高田屋の主人の夢に口入稲荷大神があらわれ、「我を玉姫稲荷の境内に遷し祭れ」とのお告げにより、以来当社境内摂社として鎮座しているとのこと。
5時前に家を出て、昨日と同じ道を水神大橋まで歩く。川風が汗ばんだ肌を心地よく撫でてくれる。遊歩道を南下、明治通りを清川2丁目の信号で左折、橋場と清川を分ける通りを南下。途中玉姫神社に立ち寄り、今戸神社前を通って、待乳山聖天公園に来ると、人気なし。「おや、夜中の雨でラジオ体操はお休みなのか?」この辺りのラジオ体操の会場には、石浜公園にしろ、今戸公園にしろ、今戸神社も牛嶋神社もちゃんと「ラジオ体操会場」と標示が掲げられているが、ここ聖天公園は何の掲示もなし。そのうちに首からラジオ体操の出席表をぶら下げたチビちゃん達がチラホラと集まってきた。まあ、このラジオ体操も8月31日で終わりなんだそうだ。たった2週間しかなくしかも日曜は休みとて来ているから、標示をだすほどのこともないのだろう。本日の10704歩、6.9kmの記録であった。
江戸時代の玉姫稲荷神社の景勝について『遊歴雑記』に記述がある。曰く、「武州豊島郡三谷町の東裏、玉姫稲荷の宮は浅ぢが原の西、耕地の中弐町にあり。社内尤(もっとも)広く、東南北の三方の耕地を見はらし、元より江戸の片ほとりの田舎なれば、社内の廻り、垣根等の構えなく、松・杉こころのままに繁茂し、木の間に古樹のさくらも四五株あれど、誰手折るいたづらなければ天然に咲乱れ、道敷の外は芝生じて苅込ざるに、そのうつくしさ人のあそぶ事邂逅(たまさか)なれば、諸鳥此神地に求食、市中に遠からずして、而も閑寂の勝地たり。扨又(さてまた)、風色の天然、眺望の面しろき、田の畦には摘草する徒あり。又、田螺(たにし)拾ふ人あり。或は畦路を人の行き通ふ。花あり、芽出しの樹々あり。扨遥に北西をかえり見れば、千住・小塚原より縄手路を三谷へ往来の、引もちぎらざる、田に畑に菜のはなの見事なる、その景望一々兎角の論なし。(『遊歴雑記』初篇之中-22)」
古くから商売繁盛の神として信仰を集め、初午祭り(2月最初の午の日)には参詣者で賑う。また、近年は春と秋に玉姫稲荷の境内を中心に「こんこん靴の市」が開かれることでも知られている。これは氏子の靴関連業者が商売繁盛を願って開く市で、市価より大幅に安い値段で販売されるという。
①真崎稲荷神社:祭神は豊受姫神、天文年間(1532~1554年)に石浜城主となった千葉之介守胤が造営という。別社の招来稲荷神社は、奥の院とされる。②江戸神社:祭神は素戔雄尊、天文年間(1532~1554年)に江戸太郎重長が勧請と受け取れる縁起の碑があるが、江戸太郎重長(源頼朝時代の人物)が江戸城に祀っていた江戸神社が天文年間に石浜に勧請されたのだろうといわれる。江戸名所図会によれば牛頭天王社となっており橋場の鎮守、御輿に手をふれず肩だけで押し合いながら担ぐ汐入の押し合い祭りがあり、古い御輿に天正15(1587)年山城の高須美作の銘ありと書いている。③妙義八幡神社:祭神は日本武尊、誉田別命であるが、鎮座年代は不詳。④北野神社:祭神は勿論菅原道真公、明和4(1767)年勧請。⑤寿老神:昭和52(1987)年、浅草七福神のの復活に際し、延命長寿の神として奉安されたものである。⑥麁香(あらか)神社:祭神は手置帆負命 彦狭知命、家の土台の守り神、木匠の始祖として、安永8年(1779)鎮座。 などの併社がある。
一般に隅田川に架けられた橋は1594年の千住大橋が最初で次が明暦の大火の教訓による1659年の両国橋とされているが、江戸名所図会に興味深い記述がある。『「夫木和歌抄(ふぼくわかしょう、1310年頃、鎌倉後期の私撰和歌集。36巻。藤原長清撰)に昔は橋がなかったが今は浮橋がある、鹿島詣に浮橋を渡った」とあり、また、太田道灌(1432~1486年)が下総の千葉氏を攻めるために長橋三条を構えたという文を引用している(3本の橋とは中洲を利用した飛び石伝いの3本か)。』
新編武蔵風土記稿には「江戸古図には汐入村と石浜村のみで橋場の名はなく、天文19(1550)年の御朱印に橋場之内という記事が出てくるとある。隅田川に架けられた最初の橋は江戸以前では橋場にあったが、千住大橋(1594年)の完成で奥州街道(日光道中)は西に移動し、橋場の橋は重要ではなくなり修復もされずに破棄されたのだと思われる。奥州道の拠点も橋場から千住に移り、石浜や橋場は隅田川観光の場所に変わっていったのだろう。家光時代にはもう少し上流の対岸に墨田御殿が造営されている。
言問橋にかかると、橋下には昨日と変わらず若者のグループがいる。シートの間から見ると4・5人が車座になって話し込んでいるようだ。もしかしたら、「ホームレス研究会」でホームレスの体験講習でもやっているのかな? 橋の真正面に見える東京スカイツリーは、手前に見えるビルの高さを超えようとしている。後ろを振り返ると、シートの中から女の子が出てきた。デジカメのシャッターを押すが、どやら後姿しか撮れなかったようだ。
一旦、三つ目通りを南下しようと思ったが、小雨ながら冷たいものが落ちてきたので、吾妻橋を渡って帰宅しようと、墨田区側の水戸邸庭園の縁を通って、枕橋に出た。枕橋を渡りながら辺りが急に明るくなるのを感じて、帰宅するのは止めにした。移り気な爺であることよ。昨日北上して帰宅した区役所通りを南下して、京葉道路に出た。京葉道路が清澄通りと交わる所で、京葉道路の1つ北側の路地を入った所に「榛(はんのき)稲荷神社」というのがあった。
現在の両国4丁目は江戸時代には亀沢町といい、JR総武線のガードからすぐ近くである。現在、風景は一変しているのだろうが竪川の二之橋から真っ直ぐの清澄通りが現在も通っている。江戸時代には、亀沢町に接して、東西およそ185m、南北およそ22mの馬場があったという。この馬場は明治の初めまでこの辺りにあったらしいが、本所に住む武士はこの馬場で弓馬の技を磨いたという。この馬場を囲む土手に大きな榛があったので榛馬場と呼ばれたという。馬場の傍らに祀られていたのがこの榛稲荷神社である。現在も榛稲荷神社の境内には何本かの榛が茂っている。
プロフィール
ハンドルネーム:
目高 拙痴无
年齢:
94
誕生日:
1932/02/04
自己紹介:
くたばりかけの糞爺々です。よろしく。メールも頼むね。
sechin@nethome.ne.jp です。
sechin@nethome.ne.jp です。
カレンダー
| 02 | 2026/03 | 04 |
| S | M | T | W | T | F | S |
|---|---|---|---|---|---|---|
| 1 | 2 | 3 | 4 | 5 | 6 | 7 |
| 8 | 9 | 10 | 11 | 12 | 13 | 14 |
| 15 | 16 | 17 | 18 | 19 | 20 | 21 |
| 22 | 23 | 24 | 25 | 26 | 27 | 28 |
| 29 | 30 | 31 |
最新コメント
[enken 02/23]
[中村東樹 02/04]
[m、m 02/04]
[爺の姪 01/13]
[レンマ学(メタ数学) 01/02]
[m.m 10/12]
[爺の姪 10/01]
[あは♡ 09/20]
[Mr.サタン 09/20]
[Mr.サタン 09/20]
最新トラックバック
ブログ内検索
カウンター